전체 확률의 원리 (total probability theorem), 조건부 확률 (Conditional probability)
이전 포스트에서 베이스 정리에 대해 설명하면서 이해를 돕기위해, 그리고 실제 사용할때 생각나기 쉽게 선행사건과 후행사건으로 구별을 하였지만 사실 해당 공식에서 두 사건은 순서가 바뀌는 경우여도 괜찮고 동시에 일어나는 경우여도 괜찮다. 지금 설명할 두 개념도 마찬가지다.
먼저 확률론의 기본적인 용어 정리를 이해하게 쉽게 풀이를 하자면
사건의 집합: Sample space
특정 사건의 집합: event
가능한 하나의 사건: sample point
발생한 사건: outcome(s)
사건을 발생시키는 시도 혹은 랜덤한 사건 발생: experiment (trial)
임을 숙지하자. event를 직역해서 '사건'으로 해석하면 혼란이 생기니 주의하도록 한다.
먼저 조건부 확률에 대해 얘기를 하면 '특정사건의 집합(event) B가 발생한 경우에서 특정사건의 집합 A가 발생할 확률'을 의미한다. 이것을 기호로

로 표기를 한다.
만약 숫자 1,2,3,4,5,6이 있고 사건 집합 A는 1,2,3 중 어느 한 숫자를 뽑는 사건의 집합이고 사건 집합 B는 3,4,5,6라고 하자. trial의 outcome가 2라면 event A에 들어가지만 event B에는 들어가지 않는다. 마찬가지로 outcome이 3이라면 A,B에 모두 들어가고 5라면 B에만 속한다.
이때 trial을 공유한다면,
(1) P(A)=3/7, P(B)=4/7, P[AㅣB] = 1/4 , P[B l A]= 1/3 이 된다. 즉 먼저 고려되는 event가 sample space가 되며 그 안에서의 다음으로 고려되는 event의 확률을 구하게 된다.
반면 각각의 trial을 공유하지 않고 따로 따로 시도를 하게 된다면
(2) P(A)=3/7, P(B)=4/7, P[AㅣB] = 3/7 , P[B l A]= 4/7 이 된다. 이렇게 먼저 고려하는 event가 다음 event의 발생 확률에 관여하지 않는 경우 두 event는 독립적이라 표현한다. (statistically independent)
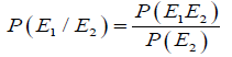
여기서 (1)의 결과와 조건부 확률의 정의를 곱씹어보면 한가지 공식을 다음과 같이 유도할 수 있다.

공식의 의미를 파해쳐보면 분모는 전체 sample space에서 event2가 일어나는 경우, 분자는 전체 sample space에서 event1, event2가 동시에 일어나는 경우가 되므로 결국 event2에서 event1이 일어나는 확률을 구하는 식이 되는 것이다.
이제 전체 확률의 법칙에 대해 얘기를 하자 전체 확률의 법칙은 event A가 있고 이와 별개로 n개의 event가 서로 상호 배타적(동시에 발생하지 않는, mutually excluasive)하면서 전체 sample space를 포괄하는 (collectively exhausitive)경우에 사용된다. 이것을 E1,E2,E3 event에 대해 도식화 하면 다음과 같다.

이 경우 다음과 같은 법칙이 성립하는데 이것이 전체 확률의 법칙이다.


이제 두 법칙을 익혔으니 이전 포스트의 베이스 정리를 다시 공부해 보면서 처음부터 유도과정을 밟아보는것을 추천한다.
'공학,과학 > 확률론' 카테고리의 다른 글
| 랜덤프로세스에 대한 대화 그리고 확률공간 (0) | 2024.02.16 |
|---|---|
| 몬티홀 문제 (12) | 2022.08.22 |
| 표본분산, 표본 표준편차에서 n-1 자유도를 이용하는 직관적인 이해. (2) | 2021.06.11 |
| 베이스정리 적용 사례(Example for applying the basien theorem), 후행사건이 어떻게 확률에 영향을 끼치는가? (0) | 2020.04.11 |
| Bayesian theorem (0) | 2020.03.19 |